数与式考点二:实数的运算及大小比较
2025-03-25 本站作者 【 字体:大 中 小 】
一、实数的大小比较
1、数轴比较法:在数轴上,右边的点表示的数总比左边的点表示的数大。利用数轴比较大小的关键两步:①在数轴上标点;②观察表示数的点在数轴上的位置。

2、实数大小比较法则:正数都大于零,负数都小于零,正数都大于负数。
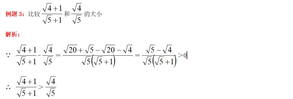
3、利用差值法:对于实数a,b,有

差值法


4、利用平方法:如果实数a>0,b>0,那么:
平方法

5、运用媒介法:对于实数a,b,c,若a>b,b>c,则a>c。

二、实数的运算
1、有理数的加法法则
(1)同号两数相加,取同号的符号,并把两数的绝对值相加;
(2)绝对值不相等的异号两数相加,取绝对值较大的加数的符号,并用绝对值较大的数减去较小的数。互为相反数的两数相加等于0;
(3)一个数同0相加,仍得这个数;
(4)加法交换律:a+b=b+a;
(5)加法结合律:(a+b)+c=a+(b+c)
2、有理数的减法法则:有理数的减法可以转化为加法来进行,减去一个数,等于加上这个数的相反数。
a-b=a+(-b)
3、有理数的乘法法则
(1)两数相乘,同号为正,异号为负,并把绝对值相乘;
(2)任何数和0相乘,都等于0;
(3)乘积是1的两个数,互为倒数;
(4)几个不是0的数相乘,负因数的个数是偶数时,积是正数;负因数的个数是奇数时,积是负数;
(5)乘法交换律:ab=ba;
(6)乘法结合律:(ab)c=a(bc);
(7)乘法分配律:a(b+c)=ab+ac;
4、有理数的除法法则:除以一个不等于0的数,等于乘以这个数的倒数,两个数相除,同号为正,异号为负,并把绝对值相除。0除以任何一个不等于0的数,都得0。除数≠0。
5、倒数:如果两个数的乘积是1,那么我们称其中一个数是另一个数的倒数,并称这两个数互为倒数;
(1)0没有倒数;
(2)一个数和它的倒数的符号相同,即正数的倒数是正数,负数的倒数是负数;
(3)倒数是相互的,当ab=1,a叫作b的倒数,b也叫作a的倒数;
(4)1和-1的倒数都是它本身。
6、多个有理数连除的计算步骤
(1)确定符号,并将带分数化成假分数;
(2)转化为乘法运算;
(3)进行乘法运算。

7、有理数的乘方:
(1)乘方的定义:求n个相同因数的积的运算,叫作乘方,一般地,n个相同因数a相乘,记着:
读着:a的n次方,也读作a的n次幂。
(2)有理数乘方的性质:
①负数的奇次幂是负数,负数的偶次幂是正数;
②正数的任何次幂都是正数,0的任何正整数次幂都是0。

三、科学记数法
1、科学记数法:把一个大于10的数表示成a×10n的形式(其中1≤a≤10,n为正整数),对于≤-10的数也可以类似表示。
2、科学记数法中a和n的确定:
(1)a就是把原数的小数点移动到作比较第一个不是0的数字后面所得到的数;
(2)n的值比原数的整数位数少1。
3、还原方法:把科学记数法表示的数a×10n还原成原数时,只需把a中的小数点向右移动n位,并去掉乘号和10n即可,若向右移动的位数不够,应用0补充。

猜你喜欢
视频丨从“外出务工”到“就近就业” 农民工就业渠道更加多元
喉咙干痒有异物感,咳不出又咽不下?小心是慢性咽炎在作祟!
咽炎总复发?你可能没避开这些刺激
二手房交易流程及税费(仅供参考)
幸福的一家人作文(精选15篇)
健康生活方式的10条“金标准”!赶紧对照一下
关于潮州市光正实验学校调整学费收费标准(拟)公开征求意见的公告
潮州市枫溪阳光实验小学2017年秋季一年级新生招生简章
科普添动力,实现“双碳”目标更可期
关于加强义务教育阶段学科类校外培训收费监管的通知



