本文作者为第三届“广东十大科学传播达人”初选入围的候选人之一陈秋娟,来自广州神农草堂中医药博物馆
2016年12月20日,国家林业和草原局(原国家林业局)印发了《全国杜仲产业发展规划(2016-2030)》,提出,杜仲已从单一的药用扩展到杜仲橡胶等多个重要领域,在生态保护、交通通讯、医疗保健、油料食品、绿色养殖等行业具有举足轻重的地位。杜仲为何能成为国家战略资源,并引起国际社会的关注?


植物杜仲
——中国树

杜仲,学名Eucommia ulmoides Oliv.,是杜仲科杜仲属植物,整个杜仲科只有杜仲这一种植物。早在200万年前,杜仲就出现了,杜仲是在第四纪冰期来临后,在欧洲和其他地区相继消失、仅在中国中部存活残留下来的孑遗植物、是“活化石”植物、也是我国国家二级保护野生植物。也正是因为第四纪冰川的出现,杜仲科杜仲属只有杜仲这一种落叶乔木。因为全世界有95%的杜仲树都在中国!我们可以将杜仲称为中国树。杜仲广泛分布于陕西、甘肃、河南(淅川)、湖北、四川、云南、贵州、湖南、安徽、陕西江西、广西及浙江等省区。

世界最大的野生杜仲产地位于湖南张家界,所以张家界也被称为杜仲之乡,而江苏的国家级林业基地则种植有大量人工培育的杜仲。
虽然是受到自然的庇佑,杜仲才能称为家族中最后的幸存者,但其实杜仲的生存能力是非常强悍的。杜仲能耐严寒,即使在-30℃的环境中也能生存,而且对土壤的要求也不高,不管是瘠薄的红土,还是岩石峭壁,它都能努力地向下扎根,向上生长。与中国人一样有着倔强的中国魂,不辱它中国树的名号!
但杜仲最喜欢的还是温暖湿润的气候和阳光充足的环境,土壤以土层深厚、疏松肥沃、湿润、排水良好为最宜。大多生长在我国长江中游和南部,海拔300-500米的低山,谷地或低坡的疏林里。
杜仲的生长过程和人是很相似的。杜仲树在幼年期生长较缓慢,7-20年才会进入速生期,20年后生长速度又逐年降低,50年后,树高生长基本停止,植株自然枯萎。真的是十年树木,百年树人呀!
中药杜仲
——健康树
杜仲在我国已有2000多年的医用历史。
中国的第一部药学著作《神农本草经》中就有记载杜仲“主腰脊痛,补中益精气,坚筋骨,强志,除阴下痒湿,小便余沥。”的功效,称赞杜仲“久服轻身不老”,现代医学证明杜仲可以活化动物体内的胶原蛋白,从而达到抗衰老的作用。李时珍的《本草纲目》中更是夸杜仲“昔有杜仲,服此得道,因此名之”。
杜仲以树皮入药。味甘,性温。入肝、肾经。有补益肝肾、强筋壮骨、调理冲任、固经安胎的功效。可治疗肾阳虚引起的腰腿痛或酸软无力,肝气虚引起的胞胎不固,阴囊湿痒等症。在《神农本草经》中被列为上品。
杜仲皮以皮厚、块大、去净粗皮、断面橡胶丝多而有光泽、内表皮暗紫褐色者为佳。

药 膳 方
巴戟杜仲炖猪尾:补肾阳,益精血,强筋骨;


巴戟天杜仲炖牛鞭:补肾壮阳,强壮腰膝,对于患有肾虚不足,阳痿早泄,腰膝酸软的患者,有一定效果;

核桃杜仲炖猪腰:滋补肝肾、强壮筋骨之功效,适合熬夜后腰酸背痛、四肢乏力、眼圈黑者食用。


杜仲皮、花、果、叶等具有很高的食用和药用价值。杜仲雄花氨基酸含量达21.88%、为松花粉的2倍以上,黄酮含量3.5%~4.0%、为银杏叶的4-5倍;杜仲油α-亚麻酸含量达 68.1%,为橄榄油、核 桃油、茶油中所含α-亚麻酸的8~60倍;杜仲叶富含绿原酸、京尼平苷酸等活性成分,其中绿原酸含量达3%~5%,在“三降”(降血压、降血糖、降血脂)、“四护”(护心血管、护肝、护肾、护视力)、“六抗”(抗肿瘤、抗梗塞、抗骨质疏松和衰老、抗病毒细菌、抗过敏、抗氧化)等方面具有显著功效,且无毒副作用。
2018年,杜仲叶入选国家卫健委既是食品又是中药材目录,杜仲、杜仲叶入选可用于保健食品的中药名单,杜仲叶从单一药用进入药用和食品领域全面应用的新时代。内含有的粗蛋白、粗脂肪、维生素、氨基酸等各种营养物质,用杜仲功能饲料喂养鱼、牛、羊、鸡、猪等,可使禽畜体内的胶原蛋白含量提高50%以上,中性脂肪减少20%以上,鸡蛋内的胆固醇含量降低10%~20%。杜仲叶中所含抗菌消炎等活性成分,能提高畜禽的免疫能力,减少疾病的发生和抗生素的使用,使畜禽肉蛋安全优质,减少抗生素残留等对人体的副作用和危害。
但需要注意的是,杜仲的服用剂量每次6~15克,服用较大剂量的杜仲后会出现头晕、疲倦乏力、心悸、嗜睡等现象;严重者会呼吸减弱、抽搐、昏迷。
再好的东西,也要注意节制使用,否则物极必反呀!
塑胶杜仲
——“战略树”
杜仲被称为“植物黄金”,可不只是因为它极高的药用价值和营养价值,它还是我国重要国家战略资源,是木本油料树种,更是世界上机具发展潜力、解决我国橡胶资源匮乏、降低橡胶对外依存度的优质天然橡胶资源,也是维护生态安全、增加碳汇、木材储备、实现绿色养殖的重要树种。

杜仲叶拉丝

杜仲皮拉丝
杜仲与众不同的一点,就是将杜仲的树皮、树枝或叶子折断,会有稠密的丝线粘连,仿佛藕断丝连一般。这些粘连的丝线就是杜仲胶。

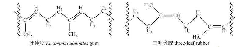
杜仲胶是一种杜仲独有的天然高分子材料,白色,有光泽,纹理细致,杜仲胶的主要成分为反式—聚异戊二烯,与三叶橡胶树产出的天然橡胶有着相同的化学组成,却有着不同的结构。杜仲橡胶具有独特的橡胶和塑料双重特性,即在常温下呈现类似塑料的状态,而在50℃以上表现为橡胶的性质,能够开发出橡胶弹性、热塑性和热弹性等三大类功能和工程材料。微观的不同导致两者完全不同的宏观性质,天然橡胶是优良的弹性体,杜仲橡胶则是易于结晶的硬塑性材料。


杜仲橡胶在一定情况下即使变形,只要加热到一定温度,就能完全恢复到原来的形状,可以作为形状记忆材料使用。
经过一定的处理,杜仲胶能在受损时自发修复一定程度的损伤,与其他橡胶搭配,可以作为减震材料使用。
由于杜仲橡胶特殊的物理性质,具有抗撕裂、耐磨、防腐蚀、偷雷达波、储能、吸能、换能、减震、通讯、医疗、建筑、运动竞技等领域。杜仲橡胶制造的飞机、汽车轮胎使用寿命提高20%,汽车油耗降低2.5%,1吨杜仲橡胶轮胎可以减少70吨汽油消耗,是开发高质量防爆轮胎的上佳材料,被国际社会誉为“绿色轮胎”。杜仲橡胶具有优良的绝缘性、耐水、耐酸碱腐蚀等性能,可用于水下管线和海底电缆。

“有杜仲,更耐磨”
如何支持你喜欢的候选人?
第三届“广东十大科学传播达人”初选
入围的30位候选人
将在8月15日前
创作原创科普作品
并在“广东科普”微信公众号
及个人的媒体平台上进行展示
(如微信公众号、头条号、澎湃号、
UC号、抖音号、微视号等)

(点击“广东科普”微信公众号下方菜单栏
“传播达人”—“优秀作品展示”,
即可查看达人们的最新作品)




