今天跟大家聊聊爱因斯坦的相对论,相对论作为现代物理学两大分支(量子力学和相对论)之一,可能我们平时接触到的关于相对论的内容比较晦涩难懂,今天我将尝试用通俗的语言来讲解一下,看完之后也许会彻底改变我们对宇宙的认知方式。

宇宙中蕴含的原理
相对论是什么
相对论从某种意义上来讲不是一种(哲学)理论,它是属于物理学的范畴,是一种物理学规律(自然规律或宇宙规律)。相对论属于科学范畴,而非民科中的哲学讨论(后面我会单独讲一下)。即物理学规律在宇宙中无论哪里都一样(相对性原理),其实把相对论称为绝对论也未尝不可。
相对论(英语:Theory of relativity)是关于时空和引力的理论,主要由爱因斯坦创立。20世纪初,相对论和量子力学的提出给物理学带来了革命性的变化,它们共同奠定了现代物理学的基础。相对论建立的“同时的相对性”、“四维时空”、“弯曲时空”等全新的时空观是人类对物理现象认识的一个飞跃。局限于惯性参考系的理论称为狭义相对论(Special relativity),推广到一般参考系和包括引力场在内的理论称为广义相对论(General relativity)。现在相对论已经成为物理学的主要理论基础之一。
相对论的核心是什么
相对论的核心是相对性原理,是指物理学规律在宇宙中到处都一样,物理学规律是发生在四维时空中(三维空间加时间),它是在一定的时空背景下发生的,进而对空间和时间分别都提出要求,最后推导出时间是相对的以及空间也是相对的。其实相对性原理才是相对论的核心。有人说光速不变原理也是相对论的核心,但如果你了解麦克斯韦方程组和相对性原理,光速不变原理是可以作为一个结论推导出来的。也就是说光速不变原理和相对性原理是并不冲突的,虽然爱因斯坦在1905年的《论动体的电动力学》论文里把这两条都作为了基本公设,但其实这两者并不冲突。

麦克斯韦方程组 图解
麦克斯韦在19世纪建立的一组描述电场、磁场与电荷密度、电流密度之间关系的偏微分方程。麦克斯韦方程组系统而完整地概括了电磁场的基本规律,并预言了电磁波的存在(光属于电磁波)。这些方程揭示了电场和磁场之间的相互依存和转化关系,为电磁学的发展奠定了坚实的理论基础。
爱因斯坦为什么提出相对论
提出相对论的主要原因是解决牛顿力学与麦克斯韦电磁学之间的矛盾。
相对论的提出是爱因斯坦为了解决当时物理学中存在的矛盾和问题而进行的伟大尝试。他通过假设光速恒定并推导出新的物理定律和时空观念,成功地解决了牛顿力学与麦克斯韦电磁学之间的矛盾,并提出了一个全新的时空观念和引力理论。相对论不仅深刻影响了现代物理学的发展,也为我们认识和理解宇宙提供了新的视角和工具。

提出颠覆性思想
牛顿力学的观点
牛顿力学认为时间和空间是绝对的,即存在一个绝对的时间和空间坐标体系,所有物体的运动都是相对于这个绝对框架来进行的。
麦克斯韦电磁学的观点
麦克斯韦电磁学则表明光速在任何参考系中都是恒定的,这一推导结论并不依赖于观察者的运动状态。这一发现与牛顿力学的绝对时空观产生了直接的矛盾。
迈克尔逊-莫雷实验
实验结果表明,在任何方向上测量的光速都是相同的,这一结果否定了以太的存在,也进一步加剧了牛顿力学与电磁学之间的矛盾冲突。
爱因斯坦的解决方案

1905年相对论横空出世
相对论的提出
狭义相对论vs广义相对论

20世纪最伟大物理学家之一
狭义相对论:时空的重新定义
狭义相对论主要是探讨了惯性参考系下物理现象的本质,特别是时间和空间之间的关系。
狭义相对论:是爱因斯坦在1905年发表的《论运动物体的电动力学》一文中提出的理论,它主要处理没有重力作用的时空中的物理现象。狭义相对论建立了全新的时空观,如“同时的相对性”、“四维时空”等,是人类对物理现象认识的一个飞跃。

牛顿时空观
牛顿时代的时空观:牛顿认为时间是绝对的,它不受任何物质或运动状态的影响,始终均匀流逝。这种时间观念与人们的日常生活经验相符,即无论物体是否运动,时间都在不停地均匀流逝。
同时牛顿也认为空间也是绝对的,它同样不受任何物质或运动状态的影响,是一个静止不动的、无限广阔的三维空间。在这个空间里,物体可以占据不同的位置并发生运动。
尽管牛顿提出了绝对时空观,但他也认识到在实际观测中,我们通常只能感知到相对时空,即物体的位置和运动状态是相对于其他物体而言的。
牛顿则是通过区分绝对运动和相对运动来解释这一现象。他认为绝对运动是指物体在绝对空间中的位置变化,而相对运动则是指物体相对于其他物体的位置变化。

弯曲的时空
狭义相对论两条基本原理
1.狭义相对性原理
狭义相对性原理指出,一切物理定律(包括力学定律、电磁学定律等)在所有惯性参考系中都是等价的,没有一个惯性系是具有优越地位。这一原理实际上是对伽利略相对性原理的推广,否定了绝对空间和绝对时间的存在,强调了物理现象的相对性。

宇宙中光速到底有多快
2.光速不变原理
光速不变原理则是指真空中的光速对任何观察者来说都是相同的,不依赖于光源或观察者的运动状态。这一原理看似简单,却蕴含着深刻的物理意义,它挑战了当时人们关于时间和空间的传统观念,为相对论的建立提供了关键性的支持。
狭义相对论下的奇妙现象
1.同时的相对性
在狭义相对论中,同时性不再是一个绝对的概念。对于两个相对运动的观察者来说,他们可能观察到两个本应是同时发生的事件在不同的时间发生。即在一个参考系中同时发生的两个事件,在另一个参考系中可能不是同时发生的。这一现象揭示了时间和空间的紧密联系,与牛顿力学中的绝对时间观念形成了鲜明对比。(本质上还是由于光速不变的原因导致的这一现象)

同时的相对性
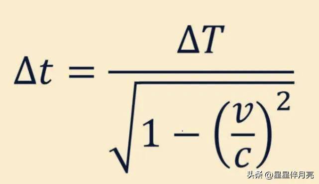
2.时间膨胀与长度收缩

时间膨胀效应
当物体以接近光速运动时,其时间流逝的速度会相对于静止的观察者变慢,这就是时间膨胀效应(本质上这一现象还是由于光速不变导致的,由于光速不变物体速度接近于光速时其时间无限趋近于停止,这也仅仅是针对观察者而言对于物体或人本身还是与平时(低速下)感觉一样)。
同时,物体在运动方向上的长度也会缩短,即长度收缩效应。这两个效应都是狭义相对论的重要预言,已经在许多实验中得到了验证。

速度越趋近于光速→效应越明显
3.质能等价(质能方程)
狭义相对论还揭示了质量和能量之间的等价关系,即著名的质能方程E=mc²(E代表能量,m代表质量,c代表光速)。这一方程表明,物体的能量和质量是同一物理量的不同表现形式,它们之间可以相互转化。这一发现不仅为核能的开发提供了理论基础,也深刻改变了我们对物质和能量的认识。

质能方程式
1945年美国原子弹的首次成功爆炸标志着核时代的开始,同时也展示了核能的巨大能量和破坏力和相对论的正确性。
4.双生子佯谬
双生子佯谬描述的是一对双胞胎兄弟,其中一个(假设为哥哥)乘坐宇宙飞船以接近光速的速度进行长途太空旅行,而另一个(假设为弟弟)则留在地球上。当哥哥返回地球并与弟弟再次见面时,根据狭义相对论的时间膨胀效应,会发现哥哥比弟弟更年轻。然而,从哥哥的角度来看,弟弟也在以接近光速的速度运动,因此弟弟的时间也应该变慢,这导致了一个看似矛盾的结论:到底谁更年轻?

时间膨胀~双生子佯谬
在双生子佯谬中,虽然从哥哥和弟弟各自的角度来看都认为对方更年轻,但实际上这是由于他们处于不同的惯性参考系中而导致的观察结果差异。当哥哥返回地球并与弟弟再次见面时,由于哥哥在太空旅行期间经历了高速运动并因此经历了时间膨胀效应(主要是看两者谁存在加速度),所以哥哥会比弟弟更年轻。

时间膨胀效应
这个结论并不矛盾也不违反物理定律。它实际上是对狭义相对论时间膨胀效应的一个生动诠释和验证。同时,双生子佯谬也展示了在不同惯性参考系中观察同一物理事件时可能产生的差异和复杂性。
为什么光速不能被超越
爱因斯坦的相对论认为,光速是宇宙中最快的速度,任何有质量的物体都无法达到或超越光速。这是因为当物体的速度接近光速时,其质量会无限增加,需要无限大的能量来使其达到或维持光速,而能量无法无限制地提供,因此光速成为一个极限(上限)。
光速不变原理(光速恒定+光速不随光源和观测者所在参考系的相对运动而改变)
举个简单的例子:A拿起手枪向B开枪,正常情况下B首先看到A扣动扳机然后子弹从枪膛里射出并击中B;若光速可以和子弹速度叠加,当子弹速度无限快时(小于光速)你就会看到子弹先从枪膛里射出,然后A再扣动扳机,这显然是不合理的,进而也可以推导出光速是恒定的(符合光速不变原理)。
广义相对论
广义相对论是关于时间、空间和引力的理论,它认为万有引力并非传统意义上的力,而是时空弯曲的几何效应。这一理论不仅是对牛顿万有引力定律的推广和修正,更是对时空观念的全新理解。

此方程是一个二阶非线性张量方程
引力到底是什么
广义相对论首次把引力场等效成时空的弯曲,时空弯曲的表现为引力,引力等效于加速度。
广义相对论的两个基本原理
1.等效原理(引力等效于加速度)
等效原理是广义相对论的核心原理之一,它指出加速运动和静止在引力场中的状态在物理上是相同的。
例如,一个站在地球表面的人所感受到的重力加速度,与一个处于加速运动状态(如宇宙飞船的宇航员)的人所感受到的惯性力是等效的。

这个方程是一个二阶非线性张量方程
2.广义相对论性原理
广义相对论指出物理定律在所有参考系中都是相同的,这一原理是狭义相对性原理的推广。它表明无论观察者的运动状态如何,他们观察到的物理现象都应该遵循相同的物理定律。
这一原理保证了物理定律的普遍性和客观性,使得广义相对论成为一个自洽且广泛适用的理论框架。
广义相对论表明物理定律的形式在一切参考系都是不变的,该定理是狭义相对性原理的推广。因为在狭义相对论中,如果我们尝试去定义惯性系,就会出现一个死循环:一个不受外力的物体,在其保持静止或匀速直线运动状态不变的坐标系是惯性系;那如何判定物体不受外力呢?回答只能是当物体保持静止或匀速直线运动状态不变时,物体不受外力。很明显,逻辑出现了难以自洽的死循环。这说明对于惯性系,人们无法给出严格定义,这不能不说是狭义相对论的严重漏洞。为了解决这个问题,爱因斯坦直接将惯性系的概念从相对论中剔除,用“任何参考系”代替了原来狭义相对性原理中“惯性系”。
爱因斯坦提出了革命性的思想,即引力不像其他种类的力,它只不过是时空不是平坦的这一事实的结果,而早先人们假定时空是平坦的。像地球这样的物体并非由于称为引力的力使之沿着弯曲轨道运动,相反,它沿着弯曲空间中最接近于直线路径的东西运动,这个东西称为测地线。一根测地线是临近两点之间最短(或最长)的路径。在广义相对论中,物体总是沿着四维时空的直线走。尽管如此,在我们看来它在三维空间中是沿着弯曲的路径。(这正如同看一架在非常多山的地面上空飞行的飞机。虽然它沿着三维时空的直线飞,它在二维的地面上的影子却是沿着一条弯曲的路径。)广义相对论的另一个预言是在像地球这样的大质量的物体附近,时间显得流逝得更慢一些。
关于时空弯曲
物质告诉空间如何弯曲,空间告诉物质如何运动。
有质量的物体会使其周围的时空发生弯曲。物体的质量越大,时空的弯曲程度就越大。这种时空弯曲是导致物体之间相互吸引(即引力)的根本原因。
广义相对论和狭义相对论的区别和联系
两者区别
1.研究对象的不同
狭义相对论:主要关注时间和空间的关系,特别是在相对速度的参考系中的时间和空间关系。它主要适用于惯性参考系,即没有加速度的参考系。
广义相对论:则扩展到更广泛的领域,包括引力和加速度等效的问题,以及时空的弯曲。它适用于任何参考系,包括有加速度的参考系。
2.时空背景的不同
狭义相对论:背景时空是平直的,即四维平凡流型配以闵氏度规,其曲率张量为零,又称闵氏时空。
广义相对论:背景时空是弯曲的,其曲率张量不为零。这一理论首次把引力场等效成时空的弯曲。
3.基本原理的不同
狭义相对论:基于两个基本原理:光速不变原理和狭义相对性原理。光速不变原理指出在任何惯性系中,真空中光速都相同;狭义相对性原理则指出物理学的基本定律乃至自然规律,对所有惯性参考系来说都相同。
广义相对论:基于等效原理和广义相对性原理。等效原理认为惯性力场与引力场的动力学效应是局部不可分辨的;广义相对性原理则指出所有的物理定律在任何参考系中都取相同的形式。
两者之间的联系
1.基础与扩展
狭义相对论是广义相对论的基础和特殊形式。广义相对论在狭义相对论的基础上,将引力纳入时空的几何结构,从而实现了对引力和时空进行更全面描述。
2.范围相同(时空)
两者都致力于描述时间空间和引力的基本规律,并试图通过数学语言来精确表达这些规律。
3.互相补充
狭义相对论主要适用于惯性参考系,而广义相对论则适用于包括有加速度的参考系在内的所有参考系。两者在不同情境下各有优势,相互补充,共同构成了现代物理学的基石,同时也推动了现代物理学的发展。

时空曲率
结尾
虽然相对论主要描述的是趋近于光速下的物理宏观现象,在日常生活中的直接影响有限,但它所揭示的时空观念已经深入人心,影响了现代人的思维方式。它让我们意识到时间和空间并不是绝对的,更让我们认识到宇宙的广阔和深邃,激发了我们对未知世界的好奇和探索,这也许就是它的魅力所在。




