大分子阻燃剂是将小分子阻燃剂结构通过化学反应得到的一种富含阻燃元素结构、与高分子间相互作用较好的一种富含元素结构、与高分子间相互作用较好的大分子阻燃元素结构、与高分子间相互作用较好的大分子阻燃化合物。
大分子阻燃剂具有五大特点:(1)相对分子质量较大,不易迁移;(2)相对于小分子阻燃剂,稳定性更好;(3)与高分子基体的相容性更好;(4)结构中含有更多的阻燃元素或基团;(5)不易制备。
大分子阻燃剂的制备技术
制备大分子阻燃剂的关键是寻找合适的大分子阻燃剂结构和优选工艺路线。较为理想的大分子阻燃剂应具有多种阻燃元素或结构基团,具有较好的热稳定性、一定的分子质量,以及与多数基体间优良的相容性。
含磷含氮的大分子阻燃剂
大量研究发现,磷、氮元素之间具有较好的增效和协同作用。赵巍等通过三聚氰胺四亚甲基硫酸膦齐聚物(MTMPSO)与聚磷酸铵(APP)一系列阻燃复配实验,将膨胀阻燃体系(IFR)添加到聚乙烯(PE)中,探讨阻燃性能。结果表明:添加IFR的PE在800℃的残炭质量分数为23.4%;当IFR质量分数达到32.0%时,就可通过UL-94 V-0级,极限氧指数LOI 为26.0%。
MTMPSO的结构示意图

张丽丽等以苯基膦酰二氯和哌嗪为原料合成了一种新型大分子含磷氮阻燃剂——聚苯基膦酰哌嗪。该大分子阻燃剂对聚碳酸酯具有明显的阻燃作用,添加质量分数为7.0%阻燃剂后的聚碳酸酯的LOI为34.8%。
聚苯基磷酸哌嗪的制备途径
谢华理等合成了一种新型具有自由基淬灭功能的大分子膨胀型阻燃剂(HAPN),并将其与APP复配阻燃聚丙烯(PP),研究了HAPN与APP的质量比对PP阻燃性能的影响。
HAPN的合成路线

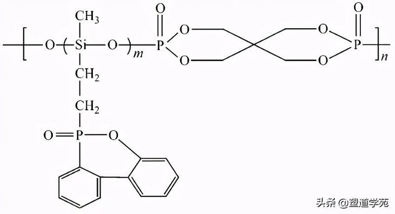
含磷含硅的大分子阻燃剂
WANG L C等成功合成了含磷含硅的大分子阻燃剂螺环季戊四醇二磷酸二磷酰氯/9,10-二氢-9-oxa-10-磷酸三烯-10-氧化物/乙烯基甲基二甲氧基硅烷(SPDV)。SPDV和氢氧化镁(MDH)复配之后阻燃EVA,当EVA、MDH、SPDV按质量比10:5:3混合后,LOI为29.4%,UL-941达到V-0级,并且没有熔滴。
SPDV的结构式

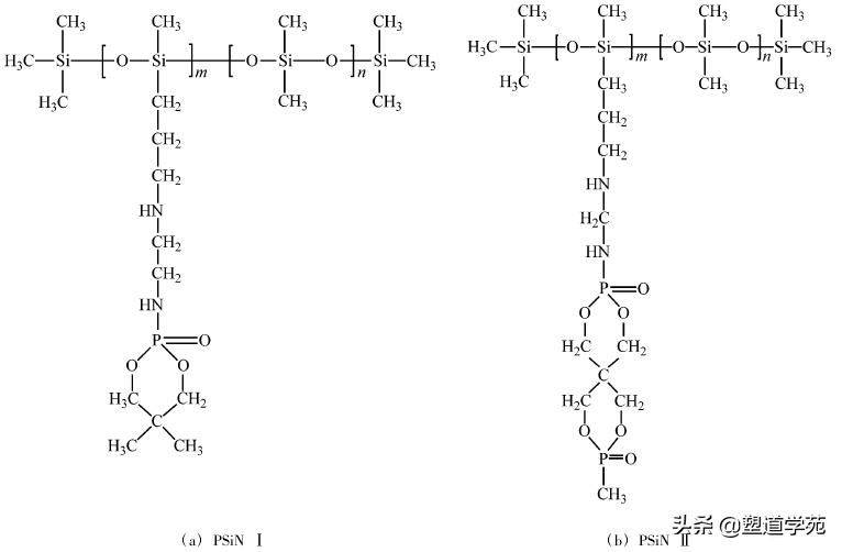
含磷含氮含硅的大分子阻燃剂
韦平等以新戊二醇、三氯氧磷、二羟基硅油和氨基和氨基烷氧基硅烷为原料,成功制备了2类含磷、氮、硅的膨胀型大分子阻燃剂,并将其用于PP阻燃。结果表明:磷、硅、氮元素存在阻燃协效性,明显提高了PP降解后的残炭质量分数,大大改善了阻燃性能。
PSiN Ⅰ和PSiN Ⅱ的结构式

陈少华等采用对苯二胺、三氯氧磷、季戊四醇和氨基硅油成功制备了一种磷、氮、硅一体化的新型膨胀型阻燃剂(P-N-Si IFR),并将其应用于PP的阻燃。结果表明:含有P-N-Si IFR质量分数为30%的PP阻燃体系的LOI可达34 %,平均热释放速率(MHRR)和残炭质量分数分别为94 kW /mZ和15.2%;优于磷氮膨胀型阻燃剂加入PP体系的30.7% (LOI) ,240kW/mz (MHRR) ,8. 7%(残炭质量分数),在阻燃和增强热稳定性效果方面更加明显。
QIU Y等Cz37通过实验发现添加质量分数为1%硅氧烷(MVC)、质量分数为3 % DOPO和三嗪环结构化合物(TGD)的EP比直接添加质量分数为4%TGD或者质量分数为4% MVC的EP具有更好的阻燃效果,并认为MVC与TGD组成的P-N-Si IFR同时发挥了凝聚相和气相阻燃机理,并表现出了明显的协效作用。
有机-无机大分子阻燃剂
环三磷睛衍生物是一种新型的有机一无机磷氮阻燃体系,具有稳定的六元环刚性结构,热稳定好,在凝聚相中阻燃效果突出。
马海云等以六氯环三磷睛(HCCP)与1-氧基磷杂-4-羟甲基-2,6,7-三氧杂双环
2,2,2
辛烷(PEPA)为原料,合成出一种磷睛衍生物阻燃剂六(1-氧代-1-磷杂-2,6,7-三氧杂双环
2,2,2
辛烷-4亚甲基)环三磷睛(PEPAP)。结果表明:当PEPAP质量分数为25%时体系的LOI为29. 4%,且该体系能够通过UL 94 V-0级;体系残炭炭层完整致密且含有磷酸酷类结构,表明PEP-AP是固相阻燃机理。




